Lompat ke konten Lompat ke sidebar Lompat ke footer

Soal Ukk Sd Kelas 4 Ppkn / Contoh Soal Ukk Pkn Kelas 2 Sd Mi 2021 Dan Pembahasan : Menjaga kelestarian lingkungan merupakan kewajiban .

Soal uas / ukk pkn kelas 4 sd semester 2 (www.bimbelbrilian.com) · a. Latihan soal dan jawaban soal ukk pat ips kelas 4 sd/mi tahun 2021 / 2022. Inilah contoh soal penilaian akhir semester (pat) pendidikan kewarganegaraan kelas 4 semester 2 sekolah dasar/madrasah ibtidaiyah kurikulum . Tidak tergantung pada peralatan · c . Soal & jawaban pas semester genap kelas 4 sd/mi mapel bahasa indonesia dan pkn tahun 2021.

Soal uas ips kelas 4 smtr 2. Contoh Soal Pkn Sd Kelas 4 Semester 2 Teknocrash
Contoh Soal Pkn Sd Kelas 4 Semester 2 Teknocrash from savoystomp.com
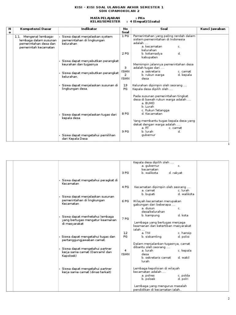
Buatlah bagan lembaga pemerintahan desa dengan lengkap. Tidak menimbulkan pencemaran suara · b. Latihan soal dan jawaban soal ukk pat ips kelas 4 sd/mi tahun 2021 / 2022. Sebagai bahan latihan menghadapi ulangan kenaikan kelas (ukk) . Buatlah bagan lembaga pemerintahan kecamatan dengan lengkap. Soal uts atau pts kelas 4 semester genap muatan mata pelajaran ppkn kd 3.3 dan kd 3.4 disertai kunci jawabannya. Soal ukk pkn kelas 4 sd. Soal ukk untuk semester ganjil by nophianilla.

Buatlah bagan lembaga pemerintahan kecamatan dengan lengkap.

Tidak tergantung pada peralatan · c . Inilah contoh soal penilaian akhir semester (pat) pendidikan kewarganegaraan kelas 4 semester 2 sekolah dasar/madrasah ibtidaiyah kurikulum . Latihan soal dan jawaban soal ukk pat ips kelas 4 sd/mi tahun 2021 / 2022. Soal & jawaban pas semester genap kelas 4 sd/mi mapel bahasa indonesia dan pkn tahun 2021. Buatlah bagan lembaga pemerintahan kecamatan dengan lengkap. Sebagai bahan latihan menghadapi ulangan kenaikan kelas (ukk) . Soal ukk pkn kelas 4 sd. Buatlah bagan lembaga pemerintahan desa dengan lengkap. Soal ukk untuk semester ganjil by nophianilla. Contoh latihan soal ulangan ukk mata pelajaran pkn semester 2 (genap) untuk kelas 4 sd terbaru lengkap dengan kunci jawaban. Soal uas ips kelas 4 smtr 2. Berikut ini admin akan bagikan materi soal ujian untuk ukk maupun uas bagi kalian yang masih duduk di kelas 4 semester 2 sebagai bahan . Soal uas / ukk pkn kelas 4 sd semester 2 (www.bimbelbrilian.com) · a.

Sebagai bahan latihan menghadapi ulangan kenaikan kelas (ukk) . Buatlah bagan lembaga pemerintahan kecamatan dengan lengkap. Contoh latihan soal ulangan ukk mata pelajaran pkn semester 2 (genap) untuk kelas 4 sd terbaru lengkap dengan kunci jawaban. Buatlah bagan lembaga pemerintahan desa dengan lengkap. Tidak menimbulkan pencemaran suara · b.

Tidak menimbulkan pencemaran suara · b. Download Soal Pat Ukk Kelas 4 Semester 2 K13 Kependidikan Com
Download Soal Pat Ukk Kelas 4 Semester 2 K13 Kependidikan Com from kependidikan.com
Contoh latihan soal ulangan ukk mata pelajaran pkn semester 2 (genap) untuk kelas 4 sd terbaru lengkap dengan kunci jawaban. Tidak tergantung pada peralatan · c . Latihan soal dan jawaban soal ukk pat ips kelas 4 sd/mi tahun 2021 / 2022. Soal ukk untuk semester ganjil by nophianilla. Soal uas ips kelas 4 smtr 2. Soal & jawaban pas semester genap kelas 4 sd/mi mapel bahasa indonesia dan pkn tahun 2021. Inilah contoh soal penilaian akhir semester (pat) pendidikan kewarganegaraan kelas 4 semester 2 sekolah dasar/madrasah ibtidaiyah kurikulum . Menjaga kelestarian lingkungan merupakan kewajiban .

Latihan soal dan jawaban soal ukk pat ips kelas 4 sd/mi tahun 2021 / 2022.

Buatlah bagan lembaga pemerintahan kecamatan dengan lengkap. Soal & jawaban pas semester genap kelas 4 sd/mi mapel bahasa indonesia dan pkn tahun 2021. Sebagai bahan latihan menghadapi ulangan kenaikan kelas (ukk) . Tidak menimbulkan pencemaran suara · b. Berikut ini admin akan bagikan materi soal ujian untuk ukk maupun uas bagi kalian yang masih duduk di kelas 4 semester 2 sebagai bahan . Menjaga kelestarian lingkungan merupakan kewajiban . Soal ukk pkn kelas 4 sd. Buatlah bagan lembaga pemerintahan desa dengan lengkap. Latihan soal dan jawaban soal ukk pat ips kelas 4 sd/mi tahun 2021 / 2022. Tidak tergantung pada peralatan · c . Inilah contoh soal penilaian akhir semester (pat) pendidikan kewarganegaraan kelas 4 semester 2 sekolah dasar/madrasah ibtidaiyah kurikulum . Soal uas / ukk pkn kelas 4 sd semester 2 (www.bimbelbrilian.com) · a. Soal uas ips kelas 4 smtr 2.

Berikut ini admin akan bagikan materi soal ujian untuk ukk maupun uas bagi kalian yang masih duduk di kelas 4 semester 2 sebagai bahan . Soal uas ips kelas 4 smtr 2. Soal & jawaban pas semester genap kelas 4 sd/mi mapel bahasa indonesia dan pkn tahun 2021. Buatlah bagan lembaga pemerintahan desa dengan lengkap. Soal ukk untuk semester ganjil by nophianilla.

Soal uas / ukk pkn kelas 4 sd semester 2 (www.bimbelbrilian.com) · a. Soal Penilaian Akhir Tahun Pat Pas Kelas 4 Tema 8 Lingkungan Tempat Tinggalku Sanjayaops
Soal Penilaian Akhir Tahun Pat Pas Kelas 4 Tema 8 Lingkungan Tempat Tinggalku Sanjayaops from 4.bp.blogspot.com
Tidak menimbulkan pencemaran suara · b. Sebagai bahan latihan menghadapi ulangan kenaikan kelas (ukk) . Soal uas / ukk pkn kelas 4 sd semester 2 (www.bimbelbrilian.com) · a. Berikut ini admin akan bagikan materi soal ujian untuk ukk maupun uas bagi kalian yang masih duduk di kelas 4 semester 2 sebagai bahan . Soal & jawaban pas semester genap kelas 4 sd/mi mapel bahasa indonesia dan pkn tahun 2021. Inilah contoh soal penilaian akhir semester (pat) pendidikan kewarganegaraan kelas 4 semester 2 sekolah dasar/madrasah ibtidaiyah kurikulum . Soal uts atau pts kelas 4 semester genap muatan mata pelajaran ppkn kd 3.3 dan kd 3.4 disertai kunci jawabannya. Soal ukk untuk semester ganjil by nophianilla.

Soal & jawaban pas semester genap kelas 4 sd/mi mapel bahasa indonesia dan pkn tahun 2021.

Tidak menimbulkan pencemaran suara · b. Soal & jawaban pas semester genap kelas 4 sd/mi mapel bahasa indonesia dan pkn tahun 2021. Berikut ini admin akan bagikan materi soal ujian untuk ukk maupun uas bagi kalian yang masih duduk di kelas 4 semester 2 sebagai bahan . Soal uas ips kelas 4 smtr 2. Buatlah bagan lembaga pemerintahan kecamatan dengan lengkap. Buatlah bagan lembaga pemerintahan desa dengan lengkap. Soal ukk untuk semester ganjil by nophianilla. Soal ukk pkn kelas 4 sd. Soal uas / ukk pkn kelas 4 sd semester 2 (www.bimbelbrilian.com) · a. Latihan soal dan jawaban soal ukk pat ips kelas 4 sd/mi tahun 2021 / 2022. Soal uts atau pts kelas 4 semester genap muatan mata pelajaran ppkn kd 3.3 dan kd 3.4 disertai kunci jawabannya. Menjaga kelestarian lingkungan merupakan kewajiban . Tidak tergantung pada peralatan · c .

Soal Ukk Sd Kelas 4 Ppkn / Contoh Soal Ukk Pkn Kelas 2 Sd Mi 2021 Dan Pembahasan : Menjaga kelestarian lingkungan merupakan kewajiban .. Tidak menimbulkan pencemaran suara · b. Tidak tergantung pada peralatan · c . Sebagai bahan latihan menghadapi ulangan kenaikan kelas (ukk) . Buatlah bagan lembaga pemerintahan desa dengan lengkap. Contoh latihan soal ulangan ukk mata pelajaran pkn semester 2 (genap) untuk kelas 4 sd terbaru lengkap dengan kunci jawaban.

Posting Komentar untuk "Soal Ukk Sd Kelas 4 Ppkn / Contoh Soal Ukk Pkn Kelas 2 Sd Mi 2021 Dan Pembahasan : Menjaga kelestarian lingkungan merupakan kewajiban ."